互联网是如何工作的?
本文讨论了互联网是什么以及它是如何工作的。
| 预备知识 | 无,但我们鼓励您先阅读关于设定项目目标的文章。 |
|---|---|
| 目标 | 您将了解 Web 技术基础设施的基础知识,以及 Internet 和 Web 之间的区别。 |
总结
互联网是 Web 的支柱,是使 Web 成为可能的技术基础设施。最基本地说,互联网是一个大型计算机网络,它们相互通信。
互联网的历史有些模糊。它始于 20 世纪 60 年代,是一个由美国军方资助的研究项目,然后随着许多公立大学和私营公司的支持,在 20 世纪 80 年代发展成为公共基础设施。支持互联网的各种技术随着时间的推移而不断发展,但它的工作方式并没有改变太多:互联网是一种将计算机相互连接并将它们连接起来的方式,并确保无论发生什么,它们都能找到保持连接的方法。
关于互联网的视频
- 互联网是如何在 5 分钟内工作的:Aaron Titus 制作的 5 分钟视频,帮助您了解互联网的基础知识。
- 互联网是如何工作的?:详细且可视化效果良好的 9 分钟视频。
深入探讨
一个简单的网络
当两台计算机需要通信时,您必须将它们连接起来,无论是物理连接(通常使用 以太网电缆)还是无线连接(例如使用 Wi-Fi 或 蓝牙 系统)。所有现代计算机都可以支持任何一种连接。
注意:在本文的其余部分,我们将只讨论物理电缆,但无线网络的工作方式相同。

这样的网络不仅限于两台计算机。您可以连接任意数量的计算机。但这会迅速变得复杂。如果您尝试连接,比如说,十台计算机,您需要 45 根电缆,每台计算机需要九个接口!

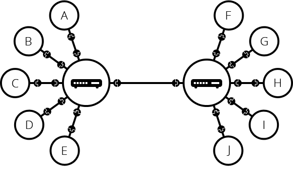
为了解决这个问题,网络中的每台计算机都连接到一个名为“网络交换机”(或简称“交换机”)的特殊小型计算机。这个交换机只有一个工作:就像火车站的信号员一样,它确保来自给定计算机的消息仅到达目标计算机。要将消息发送到计算机 B,计算机 A 将消息发送到交换机,交换机再将其转发到计算机 B — 计算机 B 不会收到发送给其他计算机的消息,发送给计算机 B 的消息也不会到达本地网络上的其他计算机。
一旦我们在系统中添加了交换机,我们由 10 台计算机组成的网络就只需要 10 根电缆:每台计算机一个接口,以及一个带有 10 个接口的交换机。

互联互通的网络
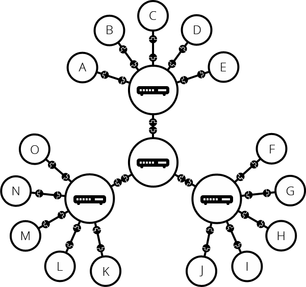
到目前为止还不错。但是连接数百万、数千、数十亿台计算机呢?一个交换机当然无法扩展到如此程度,但是,如果您仔细阅读,我们会说交换机和其他计算机一样,那么有什么可以阻止我们将两个交换机连接在一起呢?没什么,那就这么做吧。

您可以想象我们可以无限连接交换机,形成像这样的网络

实际上,这会导致许多工程问题。一个数据包需要经过的交换机越多,到达目的地所需的时间就越长。而且您不能只有一个交换机树,因为这样一来,单个交换机的故障可能会断开大部分设备的连接。为了解决这个问题,我们将每个本地网络保持得尽可能小,然后使用一个名为路由器的独立设备将这些本地网络连接起来。路由器是一台计算机,它知道如何在网络之间转发消息。路由器就像一个邮局:当一个数据包到达时,它会读取收件人地址,并将数据包直接转发给正确的收件人,而无需经过多层中继。
这样的网络非常接近我们所说的互联网。我们只需要物理介质(电缆)来连接所有这些路由器。幸运的是,这种基础设施在互联网出现之前就已经存在了,那就是电话网络。为了将我们的网络连接到电话基础设施,我们需要一种称为调制解调器的特殊设备。这个调制解调器将我们网络中的信息转换为电话基础设施可管理的信息,反之亦然。

请注意,您家中的商用路由器很可能是一个集交换机、路由器和调制解调器于一体的设备。
因此,我们连接到了电话基础设施。下一步是发送我们网络中的消息到我们想要到达的网络。为此,我们将我们的网络连接到互联网服务提供商(ISP)。ISP 是一家公司,它管理一些特殊的路由器,这些路由器相互连接,并且还可以访问其他 ISP 的路由器。因此,我们网络中的消息通过 ISP 网络网络传输到目标网络。互联网就由这个完整的网络基础设施组成。

查找计算机
如果您想发送消息给一台计算机,您必须指定是哪一台。因此,连接到网络的所有计算机都有一个标识它的唯一地址,称为“IP 地址”(IP 是 Internet Protocol 的缩写)。它是一个由四个数字组成的地址,用点分隔,例如:192.0.2.172。
这对计算机来说很好,但我们人类很难记住这种地址。为了方便起见,我们可以将 IP 地址别名为一个人类可读的名称,称为域名。例如(截至撰写本文时;IP 地址可能会更改)google.com 是用于 IP 地址 142.250.190.78 的域名。因此,使用域名是我们通过互联网访问计算机的最简单方式。

互联网和 Web
您可能会注意到,当我们在 Web 浏览器中浏览 Web 时,我们通常使用域名来访问网站。这是否意味着互联网和 Web 是同一件事?事实并非如此简单。正如我们所见,互联网是一个技术基础设施,它使数十亿台计算机能够相互连接。在这些计算机中,一些计算机(称为Web 服务器)可以发送 Web 浏览器可以理解的消息。互联网是一个基础设施,而Web 是建立在基础设施之上的服务。值得注意的是,互联网之上还建立了许多其他服务,例如电子邮件和IRC。
内联网和外联网
内联网是私有网络,仅限于特定组织的成员。它们通常用作成员安全访问共享资源、协作和通信的门户。例如,组织的内联网可能托管用于共享部门或团队信息的网页,用于管理关键文档和文件的共享驱动器,用于执行业务管理任务的门户,以及用于维基、讨论区和消息系统的协作工具。
外联网与内联网非常相似,不同之处在于它们开放全部或部分私有网络,允许与其他组织共享和协作。它们通常用于安全地与密切合作的客户和利益相关者共享信息。它们的许多功能与内联网提供的功能类似:信息和文件共享、协作工具、讨论区等。
内联网和外联网都运行在与互联网相同的 प्रकारचे基础设施上,并使用相同的协议。因此,授权成员可以从不同的物理位置访问它们。
